Lecture 4~6
<Lec 4 ์ ๋ฆฌ>
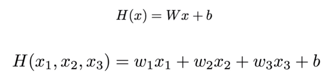
Multivariable linear regression (์ฌ๋ฌ๊ฐ์ ๋ณ์ ์ฌ์ฉ)

์์ ๋ค์๊ณผ ๊ฐ์ด ๋ฐ๊ฟ์ ์ฌ์ฉ. ์์ ์์๋ input์ด 3๊ฐ์ธ ๊ฒฝ์ฐ hypothesis ์

๊ฐ์ ๊ฒฝ์ฐ Cost Function์ ์์ ์ด๋ ๊ฒ ๋ฐ๊ฟ ์ ์๋ค.
variable์ด ๋ง์ ์ง ๊ฒฝ์ฐ ์์ด ๋๋ฌด ๋ณต์กํด์ง๋ฏ๋ก Matrix ์ ๊ณฑ์ ์ ์ด์ฉํ๋ค.
-> H(X) = XW
๊ฐ ๋ณ์์ ๋ํ ์ธ์คํด์ค๊ฐ ์ฌ๋ฌ๊ฐ ์์ด๋ matrix๋ฅผ ์ฌ์ฉํ๋ฉด ๊ณฑ์ ์ ๋ฌธ์ ๊ฐ ์๋ค.
H ร W = H(X)H์ ํ = instance ๊ฐ์ (data ๊ฐ์)H์ ์ด = variable ์. (๋ณ์)
H(X)์ ํ = instance ๊ฐ์
H(X)์ ์ด = Y ๊ฐ ๊ฐ์
๋๊ฐ์ง ๊ฐ์ด ์ฃผ์ด์ก์ ๋ W์ ํฌ๊ธฐ ๊ฒฐ์
W์ ํ = H์ ์ด
W์ ์ด = H(X)์ ์ด
์ถ๋ ฅ๊ฐ Y๊ฐ 1๊ฐ ์ด์์ธ ๊ฒฝ์ฐ matrix์ ๊ณฑ์ ๊ฒฐ๊ณผ ๊ฐ์ ์ด์ด 1๊ฐ ์ด์.
TensorFlow์์ ์ฌ์ฉํ๋ ๊ฒฝ์ฐ H(X) = XW ์์ผ๋ก ์จ์ฃผ๋ ๊ฒ์ด matrix ๊ณ์ฐ ๊ตฌํ์ด ๊ฐ๋ฅํ๋ฏ๋ก ์ต๋ํ ์ด ํ๊ธฐ๋ฒ์ผ๋ก ์ฌ์ฉํ๊ธฐ
<Lec 5 ์ ๋ฆฌ>
Logistic classification
- ์ ํ๋๊ฐ ๋์ ์๊ณ ๋ฆฌ์ฆ
Binary classification
์ ํด์ง ๋๊ฐ์ ์นดํ ๊ณ ๋ฆฌ ์ค ํ๋๋ฅผ ์ ํ. (ex : Spam main Detection)
0/1 ๋ก encoding ํ์ฌ ํํํ๋ค.
๋ฐ๋ผ์ Linear ํ ๊ทธ๋ํ ํํ๋ก ํํํ๊ธฐ ์ด๋ ต๋ค.
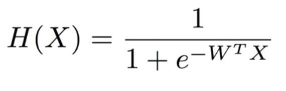
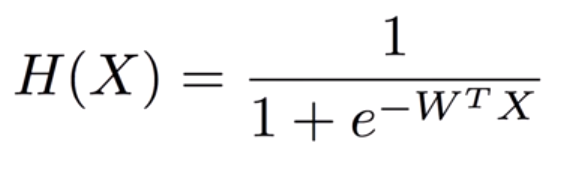
Linear ํ ํํ์ ๋น์ทํ๊ฒ ํํํ๊ธฐ ์ํด 0๊ณผ 1๋ก๋ง ๊ฒฐ๊ณผ๊ฐ ๋์ค๋๋ก ์์ถํ๋ ์ ์ฌ์ฉ.

์์ ๊ฐ์ ๊ฐ์ค์ ์ธ์ ์ฌ์ฉํ๋ค. ๊ฐ์ 0์์ 1์ฌ์ด๋ก ๋์ค๊ฒ ๋๋ค.

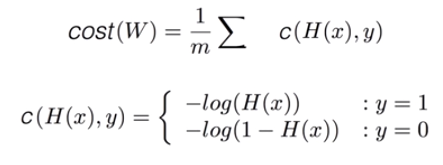
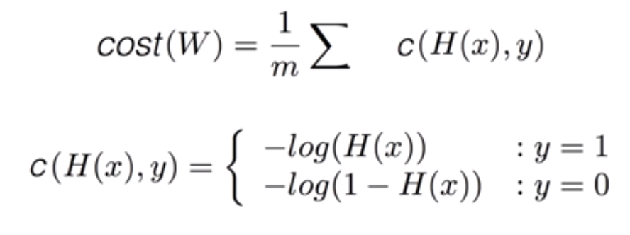
Cost Function์ ์์ ๊ฐ๋ค.

์์ ์์ Cost Function ์ ์กฐ๊ฑด์ ๋๋์ง ์๊ณ ํ๋์ ์์ผ๋ก ๋ง๋ ๊ฒ์ด๋ค. (Tensorflow์์ ์ฌ์ฉํ๊ธฐ ํธ๋ฆฌํ๋๋ก)
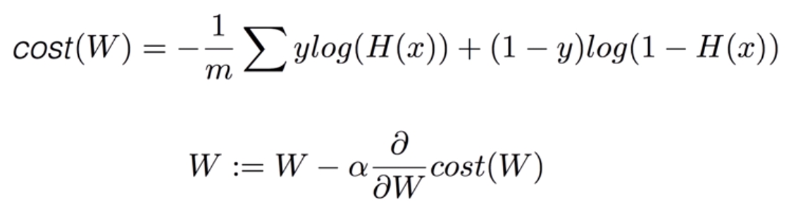
๋ฐ์ ์์ W๊ฐ ๋ณํ์ํค๋ฉฐ Cost๋ฅผ ์ต์ํํ๋ ๊ฐ ๊ตฌํ๊ธฐ.
<Lec 6 ์ ๋ฆฌ>
Multinomial Classification
- ์ฌ๋ฌ๊ฐ๋ก ๋ถ๋ฅํ๋ ๊ฒฝ์ฐ ๋ถ๋ฅํ ์ ์๋ ์ ์ฐพ๊ธฐ.
- Binary classification ์ผ๋ก ๊ฐ๊ฐ์ ๊ฐ ๋ถ๋ฅ ๊ฐ๋ฅ. ex) A or not ์ / B or not ์ ...
๊ฐ๊ฐ์ ๊ฒฐ๊ณผ ๊ฐ์ sigmoid ํจ์ ์ ์ฉ
SoftMax
- Logistic classifier๋ฅผ ํตํด WX = Y ๊ฐ์ ๋ด๋ฉด, sigmoid ํจ์์ ์ ์ฉํด ๊ฐ์ด 0๊ณผ 1์ฌ์ด์ ๊ฐ์ผ๋ก ๋์ค๋๋ก ํจ.
๊ฒฐ๊ณผ ๊ฐ์ ํฉ์ 1์ด ๋์ด์ผ ํจ.
- ๋์จ ๊ฒฐ๊ณผ ๊ฐ ์ค ํฐ ๊ฐ์ 1๋ก ํ๊ณ ๋๋จธ์ง ์์ ๊ฐ์ ๋ฌด์ํด๋ ๋๋ ๊ฒฝ์ฐ 0 ์ผ๋ก ์ค์ . "One-hot encoding"
Cross-entropy : ๋ถํ์ค์ฑ์ ์ ๋Cross-entropy๋ฅผ ์ด์ฉํ์ฌ cost function ๋ง๋ ๋ค.
S(y): ์ถ๋ ฅ์ softmax๋ก ๋ณํ (์์ธกํ y ๊ฐ)
L : ์ค์ ๊ฐ
Logistic cost ์ cross entropy ์ฌ์ค์ ๊ฐ๋ค.
์ต์ํ ๊ตฌํ๋ ๋ฒ์ Gradient descent๋ฅผ ์ฌ์ฉํ๋ค. (๊ฒฝ์ฌ๋ฉด ํ๊ณ ๋ด๋ ค๊ฐ ์ต์ ๊ฐ ๊ตฌํ๋ ์๊ณ ๋ฆฌ์ฆ)
ํ๊ธฐ ์ ๋ฆฌ


Last updated